聚醚胺(polyetheramine)

聚醚胺ZD-1200

聚醚胺ZD-1200

中文名稱: 聚醚胺ZD-1200
英文名稱: POLYETHER AMINE ZD-1200
CAS: 9046-10-0
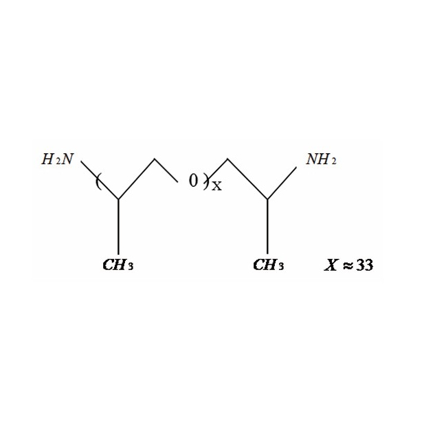
分子量:2000
應用:聚脲與RIM主要配方,環氧系統中增加柔韌性的共聚反應物
詳細介紹

聚醚胺 ZD-1200

  • 中文名稱:聚醚胺 ZD-1200
  • 英文名稱:Polyether Amine ZD-1200
  • CAS 號碼:9046-10-0
  • 分子量:約 2000

聚醚胺 ZD-1200 為一種高分子量、雙官能伯胺結構之反應型胺類材料, 主要應用於聚脲(Polyurea)、RIM(Reaction Injection Molding) 以及需提升柔韌性之環氧樹脂體系中。 其聚醚主鏈結構可為固化材料提供良好的彈性與應力分散能力。

由於 ZD-1200 具有較長的分子鏈段, 在樹脂反應系統中可有效改善材料的柔軟性與剝離耐受表現, 同時維持結構完整性。 其低色度與低蒸氣壓特性, 亦有助於提升配方穩定性與最終產品外觀品質。

材料特性

  • 雙官能伯胺結構,具反應性與結構調整能力
  • 高分子量聚醚主鏈,有助於提升柔韌性
  • 低色度、低揮發特性,適合工業製程應用
  • 可改善材料之剝離強度與抗應力能力

主要應用

  • 聚脲(Polyurea)與 RIM 系統之主要配方組成
  • 環氧樹脂體系中之柔韌性改質共聚反應物
  • 工業用塗料、膠黏劑與彈性材料
  • 需兼顧結構強度與延展性的高分子應用

※ 本產品屬工業用反應型胺類原料,實際配方設計、反應條件與應用方式 應依最終用途與製程需求進行專業評估。 TRIOCHEM 可依不同應用提供材料選型與技術層級之諮詢支援。